Leistungsdichtespektrum bestimmen

 

Bezüglich einer spektralen Untersuchung von verrauschten Signalen besitzt das Leistungsdichtespektrum (LDS) gegenüber dem Amplitudenspektrum eine wesentlich höhere Aussagekraft.
Die gezeigte Spektralanalyse mit Hilfe des Amplitudenspektrums kann durch eine Schätzung des Leistungsdichtespektrums für stochastisch verteilte Messreihen erweitert werden.

Hierfür wird eine Fensterung mit einer bestimmten Länge definiert. Durch eine Mittelung der entstandenen Periodogramme unter Einfluss der genannten Fensterung kann so ein genauerer bzw. aussagekräftigeres Ergebnis gegenüber des Amplitudenspektrums gewonnen werden. Eine Verbesserung der Berechnung bewirkt eine zeitliche Überlappung der einzelnen Signale innerhalb der Fensterung.

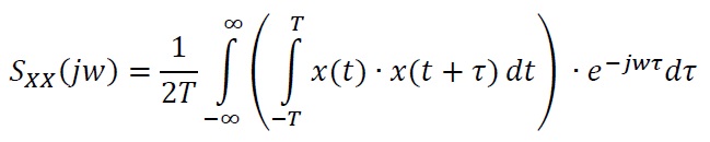
Die Berechnung des Leistungsdichtespektrums erfolgt durch
.
Im Vergleich zu der Berechnungsvorschrift des Amplitudenspektrums stellt hier das Produkt aus dem Spannungssignal zur Zeit t und dem selbigen Spannungssignal zu einem entsprechenden Zeitpunkt die Leistungsberechnung dar.

 

Matlab-Skript:

Plot aus Matlab-Skript:

Aus den berechneten Leistungsdichtespektren wird sehr deutlich, in welchem Maße die jeweiligen Freqeunzanteile eine Gewichtung innerhalb des Signals erhalten.
Auch hier ist im Vergleich zum Amplitudenspektrum in dem unteren LDS-Plot eine größere Dämpfung der Frequenzen um die Nyqusit-Frequenz zu erkennen. Hier macht sich die Tiefpassfilterung stark bemerbar.
Des Weiteren ist in der Darstellung des Leistungsdichtespektrums gegenüber dem Amplitudenspektrum eine deutliche Dämpfung der Frequenzen im Bereich von 200 kHz bis 500 kHz zu erkennen.